Saturday, November 27, 2021

How to start a definition essay

How to start a definition essay

how to start a definition essay

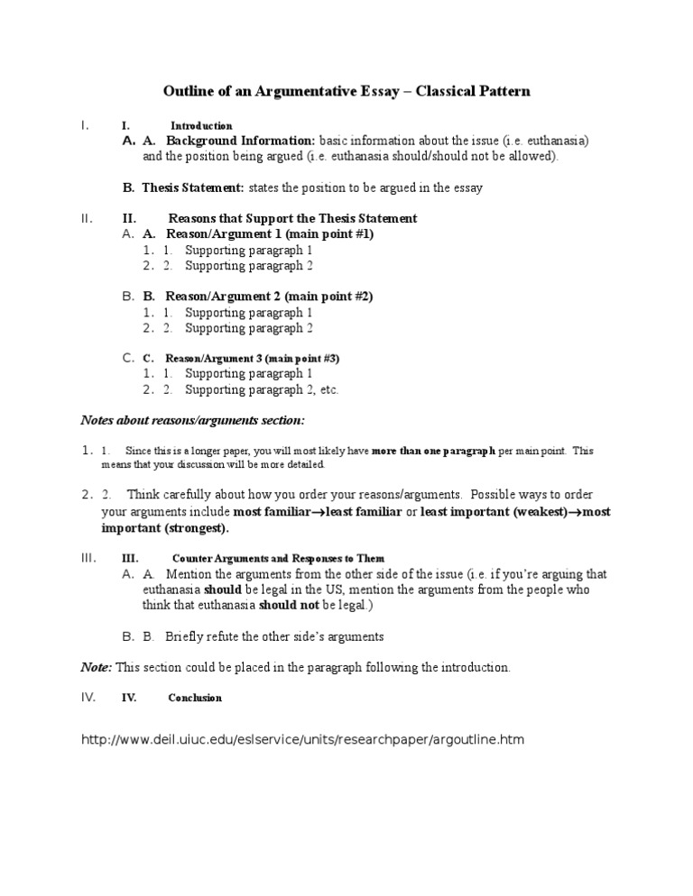
How to start a definition essay starts with your introductory paragraph that contains the dictionary definition of the word. Another option is to start your definition essay with an opposing interpretation of the term. In a thesis you will state your personal definition of the term Pre-Writing Steps. 1. Choosing a Proper Term ‍. When choosing a topic, it is necessary to choose a word that is not simple, and does not have a solid precise definition. 2. The Word Should Be Multi-Dimensional ‍. This means that you need to choose a word that has different meanings for different A definition essay is structured around the goal of defining a term, concept, or idea. While you may start off with a simple dictionary definition, your essay will, ultimately, contain an extended definition



How to Write a Definition Essay: All Writing Tips, Terms Here



Definition is a rhetorical style that uses various techniques to impress upon the reader the meaning of a term, how to start a definition essay, idea, or concept. Definition may be used for an entire essay but is often used as a rhetorical style within an essay that may mix rhetorical styles. For example, you may need to use definition in order to fully explain a concept before you make an argument about that concept.


A definition essay is structured around the goal of defining a term, concept, or idea. While you may start off with a simple dictionary definition, your essay will, ultimately, contain an extended definition.


There are many techniques you can use to extend a definition in a definition essay to be discussed further. Write Read Educators. Forgot your how to start a definition essay Lost your password?


Please enter your email address. You will receive mail with link to set new password. Please give us your feedback! Skip to content Definition Essay. NOTE: A common pitfall in writing a definition essay is assuming your readers know the connotation the implied meaning of a specific word. Writing Lab Menu open all close all.


Titlex 1 Titlex 2 Titlex 3 Titlex 4 Titlex 5 Titlex 6 Titlex 7 How to start a definition essay 8. xContent 1. Sign in New account. Remember me. Log in. Select a Role Educator Learner. Create account. Reset password. Rhetorical Styles » Definition Essay ».




How To Write A Definition Essay (Topics, Outline) - EssayPro

, time: 4:46





How to Write a Definition Essay. Fresh Topics&Examples | EssayPro


how to start a definition essay

Feb 18,  · 3 Steps to a Powerful Definition Essay. When you start writing a definition essay, follow 3 main steps. Step 1: Tell readers what term is being defined. Step 2: Present clear and basic information. Step 3: Use facts, examples, or anecdotes that readers will understand. Choosing Ideas for Writing a Definition Essay Pre-Writing Steps. 1. Choosing a Proper Term ‍. When choosing a topic, it is necessary to choose a word that is not simple, and does not have a solid precise definition. 2. The Word Should Be Multi-Dimensional ‍. This means that you need to choose a word that has different meanings for different Dec 12,  · Use promocode "YOUTUBE" on our website and get 20% off ��Definition essay. It sounds easy: all you need to do is to define something. For example, a term, a

No comments:

Post a Comment